✅ 지적사항
◦ 사립학교법」 제29조 제2항에 따르면 학교에 속하는 회계는 이를 교비회계와 부속병원회계로 구분하고, 「같은 법 시행령」 제13조 제4항에는 부속병원 운영에 필요한 인건비는 부속병원회계의 세출로 하도록 되어 있으며, 사학기관 재무·회계 규칙에 대한 특례규칙 제15조 제2호에는 회계처리는 신뢰할 수 있도록 객관 적인 자료와 증거에 의하여 공정하게 처리하여야 한다고 되어 있는데도,
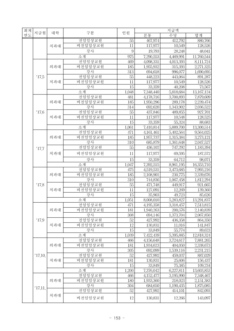
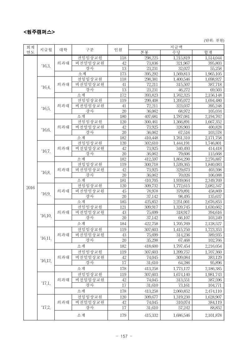
- 연세대학교는 2016. 3. 대학업무(강의, 연구 등)와 부속 병원업무(진료 등)를 병행하는 본교 의·치과대학 소속 전임임상교원에게 급여 합계 11,192,193천원을 지급 하면서 업무별 대가를 구분하지 아니하고 전액 부속 병원회계에서 교비회계로 전출하여 교비회계 인건비로 계상하는 등【붙임】“의·치과대학 임상교원 부속병원 업무대가 교비회계 일괄 계상 현황”과 같이 2016회계 연도부터 2018회계연도까지 대학업무와 부속병원업무를 병행하는 교원에게 급여 합계 574,036,771천원(본교 487,726,484천원, 원주86,310,287천원)을 지급하면서 업무별 대가를 구분하지 아니하고 전액 부속병원회계에서 교비회계로 전출하여 교비회계 인건비로 계상하였고 ․ 그 결과, 부속병원업무대가까지 인건비로 반영된 교비 회계 재무제표를 근거로 교육비환원율 등 주요 재정 지표가 산정된 사실이 있음.
✅ 처분결과
◦기관경고
◦통보
- 의·치과대학 소속 교원 인건비는 대학업무와부속병원 업무에 따른 대가 로 각각 구분하고
- 부속병원업무대가 상당액은교비회계 재무제표에 반영 되지 않도록 회계 처리하기 바람










'연세대학교(2019 교육부)' 카테고리의 다른 글
| 일반경쟁입찰대상 용역 수의계약 체결 (0) | 2023.09.26 |
|---|---|
| 법인카드 사용 포인트 환급액 세입처리 부적정 (0) | 2023.09.26 |
| 법인카드 관리 및 사용 부적정 (0) | 2023.09.26 |
| 교육용 기본재산 법인 수익사업체 사용 (0) | 2023.09.26 |
| 시간외 근무수당 집행 부적정 (0) | 2023.09.26 |