✅ 지적사항
◦ 사립학교법 제55조제1항에따라준용되는 국가공무원법 제58조에 따르면 공무원은 소속 상관의 허가 또는 정당한 사유가 없으면 직장을 이탈하지 못하게 되어있으며, 세명 대학교 교직원 복무규정 제2조 및 제3조에 따르면 교직원은 성실 근면하고 청렴하여 학생의 사표(師表)가 되도록 힘쓰며 맡은 바 책임을 다하여야 하고 관계법령과 정관 및 제규정을 준수하고 상사의 지시에 순응하여 그 직무를 완수하여야 하며, 세명대학교는 2018. 3. 보직 교직원 회의 및 2018. 4. 학부 과장 회의 등 2018. 부터 2019. 12.까지 총 12차례 회의에서 국외 여행(활동)에 대해 사전 승인받도록 안내하였는데도,
※ 2020.3.1. 교직원 복무규정 개정으로 개인적 사유의 국외 여행에 대한 명시적 규정 마련
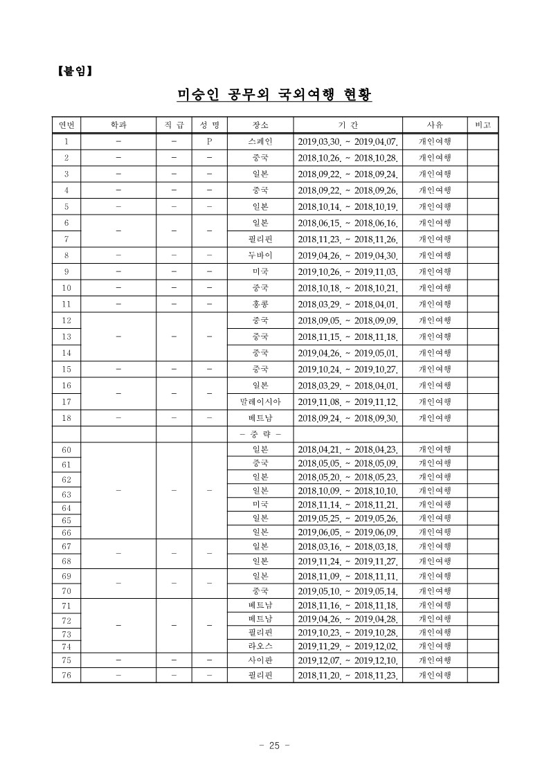
- 세명대학교 P는 2019. 3. 30.부터 2019. 4. 7.까지 9일간 국외여행에 대한 승인 없이 공무외 국외여행을 실시 하는 등【붙임】“교원 미승인 공무외 국외여행 현황”과 같이 2018. 3.부터 2019. 12.까지 위 P 등 교원 45명은 총 76차례에 걸쳐 사전 승인 없이 공무외 국외여행을 실시한 사실이 있음
※ 출입국 증명원 미제출(2명) : 건축공학과 Q, 교양대학 R
✅ 처분결과
◦ 경고(8명)
◦ 주의(37명))
◦ 통보
- 출입국 증명원을 제출하지 않은 건축공학과 Q 등 2명의 교원에게 출입국 증명원을 제출 받아 국외여행에 대한 승인여부 를 확인하여 관련 규정에 따라 조치 하기 바람
'세명대학교(2021 교육부)' 카테고리의 다른 글
기록물 관리 부적정 (1) | 2023.11.13 |
---|---|
4대 폭력 예방교육 및 긴급복지지원 신고의무자 교육 미이수 (0) | 2023.11.13 |
미허가 겸직 및 외부 출강 (1) | 2023.10.24 |
교원 징계 대상자 처리 부적정 (0) | 2023.10.24 |
강의평가 기준 미달 강사 과목배정 부적정 (0) | 2023.10.24 |