✅ 지적사항
◦「사학기관 재무·회계 규칙」제4조 및 제21조에 따르면 학교의 재무와 회계는 건전하게 운영하여야 하며 국가의 정책과 사회의 공공기관으로서의 의무와 그 설립목적에 반하여서는 아니되며, 학교의 세출예산은 이를 목적 외에 사용하지 못하고,「사학기관 재무·회계 규칙에 대한 특례규칙」제15조 제2호에 따르면 회계 처리는 신뢰할 수 있도록 객관적인 자료와 증거에 의하여 공정하게 처리하여야 한다고 되어 있으며,「연세대학교 교직원 보수규정」제19조에 따르면 시간외 수당은 규정된 근무시간 외에 근무하는 교직원에게 지급하는 수당으로 되어 있는데도,
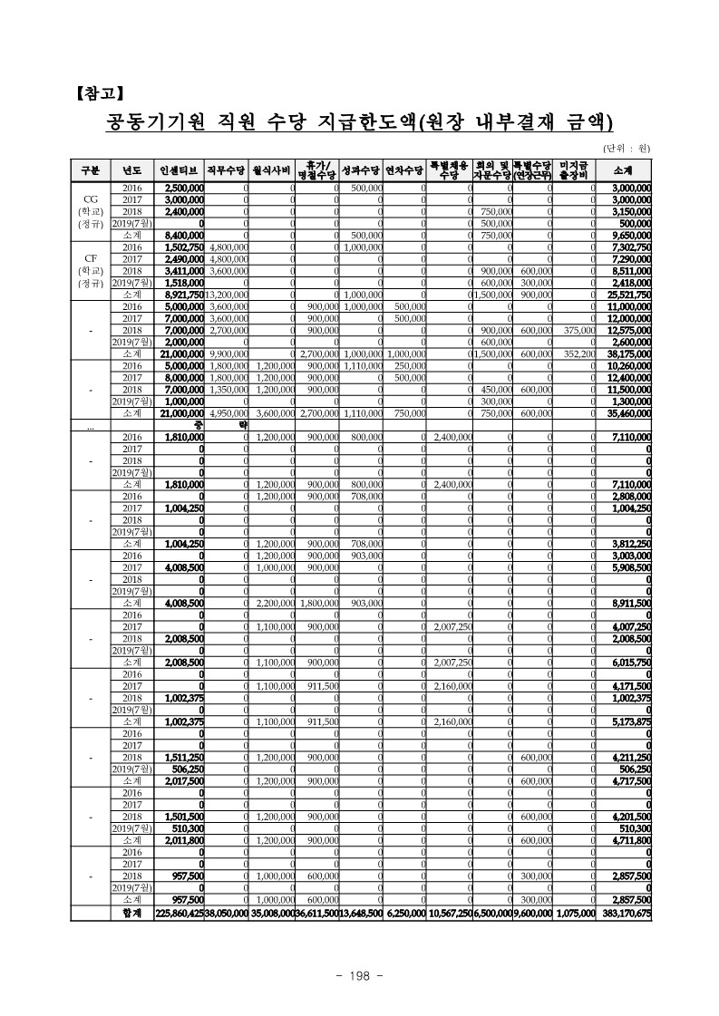
- 연세대학교 연구처 공동기기원은 2016. 4. 25. 규정 등 에서 정한 기준이나 절차(총장 재가, 인사위원회 심의 등 등을 거치지 않고 원장 내부결재만으로 공동기기원 직원들에게 인센티브, 특별채용 수당 등 수당을 지급 하는 것으로 결정하고, 2016. 5. 4. 실제 시간외 근무 여부와는 상관없이 CF의 2016.3.~2016.4월분 시간외 근무수당 신청서(수당합계 : 1,504,500원)를 허위로 작성하여 재무팀에 신청(수령)하는 등【붙임1】“공동기기원 직원 시간외 근무수당 등 허위 신청(수령) 현황”과 같이 2016. 3.부터 2019. 7. 감사일 현재까지 위 공동기기원은 규정 등에서 정한 기준이나 절차(총장 재가, 인사위원회 심의 등) 등을 거치지 않은 수당 등을 지급하기 위해 실제 시간외 근무 여부와는 상관없이 시간외 근무를 한 것처럼 시간외 근무수당 신청서 총 247건을 허위 로 작성하여 재무팀에 신청하여 위 CF 등 공동기기 원 직원 25명으로 하여금 합계 358,669,925원을 지급 받게 한 사실이 있음
※ 2019.3월부터산학협력단소속직원의경우시간외근무일지를작성 하였으나위시간외근무수당신청과는별개로관리
- 한편, 2016. 5. 3. 공동기기원 CG에게 위에서 정한 인센티브 등을 지급하기 위해 규정에 없는 ‘운영정책 방안 수당’ 500,000원을 재무팀에 신청(수령)하는 등【붙임2】 “공동기기원 CG 운영정책 방안수당 등 신청(수령 현황”과 같이 2016. 5.부터 2018. 11.까지 규정 등에서 정한 절차 등을 거치지 않은 인센티브 등을 지급하기 위해 규정에 없거나 규정 등에서 정한 절차 등을 거치지 않은 ‘운영정책 자문수당’ 12건, ‘자문수당’ 3건 총 15건을 재무팀에 신청하여 위 CG로 하여금 합계 8,400,000원을 지급받게 한 사실이 있음
✅ 처분결과
◦중징계(1명)
◦시정(회수)
- 허위로청구(수령)한 시간외 근무수당 등합계367,069,925원(시간외 358,669,925원, 자문수당등8,400,000원) 을CF등26명으 로부터회수하여 관련회계에 세입 조치하기 바람
◦통보(문책)(1명)
<별도조치>
◦고발





'연세대학교(2019 교육부)' 카테고리의 다른 글
| 교내연구비 연구결과물 지연제출 (0) | 2023.10.10 |
|---|---|
| 산학협력단 보직자 업무추진비(법인카드) 사용 부적정 (0) | 2023.10.10 |
| 공동기기원 사용료 未징수 (0) | 2023.10.10 |
| 학생연구원 인건비 공동관리 등 (0) | 2023.10.10 |
| 논문 인센티브 중복 지급 (0) | 2023.10.10 |